Problem Solving a System of ODEs using Odesolve
- June 15, 2025
- 1 reply
- 572 views
Hi Folks,
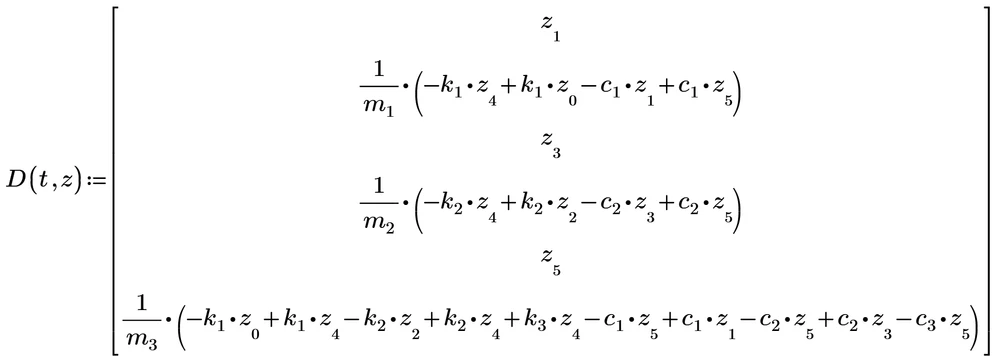
I have a system of three coupled ODEs that I'm trying to solve in Prime 10. I seem to have a syntax error, but the help files are so terse, I can find an example to follow. I'm sure I'm making a basic mistake, but I can't figure it out from the documentation.
I'd be most obliged if someone could point me in the right direction.
The attached file actually has two different solution attempts in it. The first is a state space solution with rkfixed. I followed a short example from the documentation, but it doesn't work. The second is the uses odesolve in a solve block.
I'd be happy if I could get either one to work, but the solve block version seems like it takes better advantage of Prime's features.
Edit: I figured out the problem with the odesolve solution. I defined three of the initial conditions incorrectly. I wrote x1'(t)=0 rather than x1'(0)=0. That just leaves the state space solution. I still don't know what's wrong with it.



