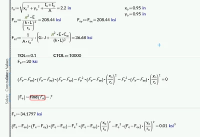
Its amongst others a matter of choosing the correct guess value.
I turned the solve block into a function with the guess value as function argument, so we can easily check different guesses.

I don't understand why the solve block fails for most guesses and will only work around 9,73 ksi, which actually is just one of three possible solutions. I also tried to choose different algorithms for 'find' to use, but to no avail.
The equation you try to solve is a simple cubic equation which of course can be solved by Primes symbolics:

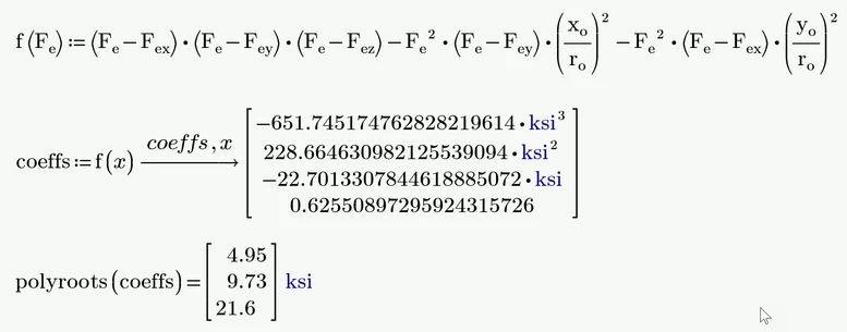
Being a polynomial we can also solve it using the "polyroots" function. This functions expects the coefficients of the equation as its argument and not the equation itself. So I used the symbolics to get the coefficients the most convenient way:

But I would suggest that you rater use Primes "root function. It seems to be much more benign and easily finds all solutions with suitable guess values.

I really don't understand why the solve block fails so badly, the cubic looks quite innocent and well-behaved

Prime 10 sheet attached