Solved
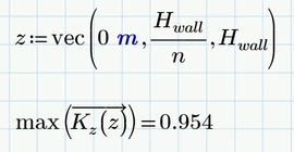
The inline evaluation (equal sign) after the definition of range z was an undocumented trick which turned a range into a vector. This worked up to Prime 9, but has no effect in Prime 10 or 11.
In Prime 11 a new built-in function "vec" was provided which could be used to turn a range into a vector but also to define a vector right away.
So you simply could use

Enter your E-mail address. We'll send you an e-mail with instructions to reset your password.


