Solved
programming if statement
- March 24, 2019
- 2 replies
- 1871 views
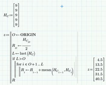
i am trying to program ;this routine (that i picked up from another topic here, originally written in mathcad 15) to calculate the depth to the midpoint of each layer. the results for z should be 4.5, 13.5, 22.5, 31.5, 40.5.
any assistance would be appreciated. the file is in mathcad 4.0

