1-Visitor
November 17, 2021
Solved
Programming in Mathcad
- November 17, 2021
- 2 replies
- 2217 views
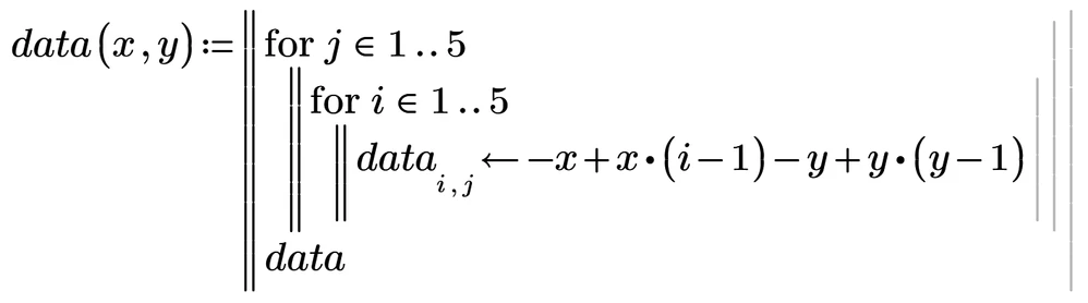
Hello Experts,
I am pretty new to mathcad and unable to understand what I am missing in program I have written.
Any help is appreciated
@StuartBruff wrote:
@JR_10083483 wrote:
Thank you for the quick suggestion and detailed explanation
I was looking for output as below
Is it possible to have it in Mathcad?
There are other ways, using matrix operations or user-defined functions to, say, replicate a vector.
Oh well, I guess my cup of tea can wait a few minutes ...

Stuart
Enter your E-mail address. We'll send you an e-mail with instructions to reset your password.