Solved
Quadratic equation and a lsolve function
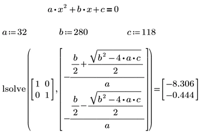
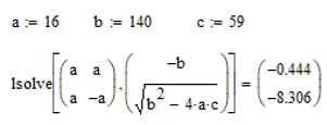
There is a quadratic algebraic equation. Is it possible, according to its coefficients a, b, and c, to form a system of two linear algebraic equations with the same roots as the quadratic equation?
Others word! Can I use the lsolve function for the solving a quadratic algebraic equation?


