Solved
Question with rewriting or solving of isolating a variable on left side of equation.
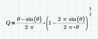
How can one re-write the equation with only theta on the left. I need to calculate theta when Q is known.
Will this be possible? Q is a ratio variable that rages between 0 and 1 and will be known from previous calculations. I know when Q=0.5 the Theta = PI and when Q=1 then Theta = 2*PI


