1-Visitor
January 2, 2026
Question
Re: need help with iterative loop
- January 2, 2026
- 2 replies
- 186 views
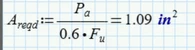
I have:

And a dropdown with rebar properties:

Areas are in col 2, 0.44, 0.60, 0.79, etc. How can I write an equation that returns the bar size with the largest area exceeding Areqd?
Please advise, thank you

