8-Gravel
June 26, 2025
Solved
Reassign a Variable Based on a Condition
- June 26, 2025
- 2 replies
- 703 views
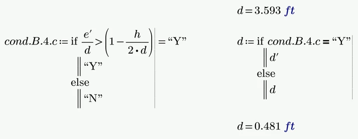
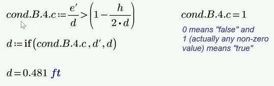
I have a ratio based on two variables: e' and d. If this ratio is larger than a condition, I want to assign d' to d and then recalculate the ratio. I want to keep the same variables; I just want the value of d' assigned to d and the ratio above recalculated. Is this possible? I have attached the sheet.





