Skip to main content
Best answer by AlanStevens

Like so:

dots.png

 

1 reply

19-Tanzanite
September 24, 2024

Like so:

dots.png

 

Cornel19-TanzaniteAuthor
19-Tanzanite
September 24, 2024

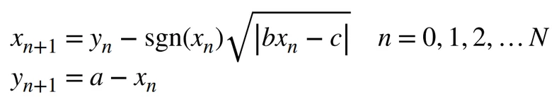
And if I want to make in this way? Why is not possible?

Cornel_0-1727188867664.png

 

 

 

19-Tanzanite
September 24, 2024

 



@Cornel wrote:

And if I want to make in this way? Why is not possible?

Cornel_0-1727188867664.png


In this form Mathcad attempts to run through all the n's for x before before tackling y; so when n gets to 1, y1 doesn't yet exist.   The only way I've found to make it proceed recursively, is to put it in an "if" statement.  (With full Mathcad Prime you could put the whole thing in a "for" loop, of course.  However, I only have the Express version).

 

Alan