Recursion
Recursion of Programming.
Prime 9.



Prime 10.01

Prime 11

So we must use Prime 11 or Prime 9, 8, 7.
Prime 10 kills auto vectorizatin of range by = and also Recursion of Programming.
Recursion of Programming.
Prime 9.



Prime 10.01

Prime 11

So we must use Prime 11 or Prime 9, 8, 7.
Prime 10 kills auto vectorizatin of range by = and also Recursion of Programming.
???????
Why don't you ever attach the associated worksheet???
I can't confirm the problem you seem to experience.
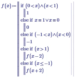
The result is exactly(!) the same in Prime 9, 10 and 11

I also don't experience any problems in any of the three Prime versions when I use a "if...elseif" cascade

Prime 9 worksheet attached
BTW, IMH the picture from Prime 10 which you posted can't be explained by any error in the implementation of recursion in the software. I rather suspect that you have defined another function f(x) somewhere above so that your new function f(x) actually is calling the one defined above.
But this happens equally in all versions of Prime (and also in real Mathcad)! A previously define function has priority over the function just being defined when called from within the new function.
Something like

So to seriously test if Prime 10 has a problem you would have to create a worksheet in Prime 9 and use THE VERY SAME sheet in P10 and P11. If there is a difference after letting the sheet recalculate, then you my have found a problem.
Enter your E-mail address. We'll send you an e-mail with instructions to reset your password.