Question
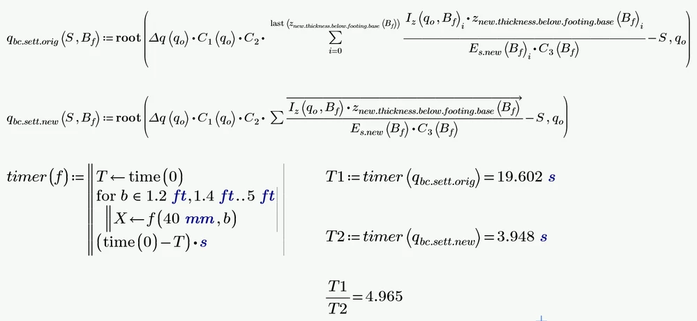
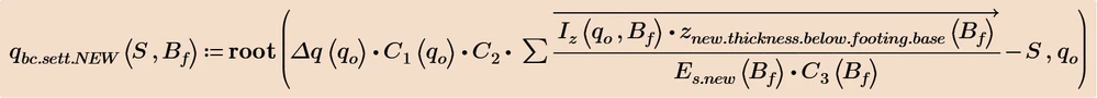
Reduce processing time in Mesh
Hello,
I have a completed Mathcad sheet that makes a 3D mesh. I am requesting to please help if the Q function that generates the mesh can be simplified such that the processing time is less. My version is 10.
Thank you

