14-Alexandrite
October 2, 2024
Solved
Repeating the values
- October 2, 2024
- 3 replies
- 3270 views
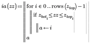
I have two vectors .. ztop and z
ztop shows the depth of each layer (cumulative value of z in each layer) . ztop has 11 values
z shows points in that depth .. it approximately increases by 0.02 in each layer. ( it has 3670 values)
each layer has its gamma and its ztop .. ( both have 11 values)
what I need is to write a program that will repeat gamma values for each z
so I get the 3670 gamma values .
In the first layer instead of having one gamma( 17 kN/m3) one value for all the layer , I need to get a vector which repeat this gamma as many as z in this particular layer .. and do the same for the rest layers.

Can you help me with that?

