Solved
RK4, manually ?? Odesolve?? RKfixed??
- September 11, 2025
- 3 replies
- 1336 views
Hello
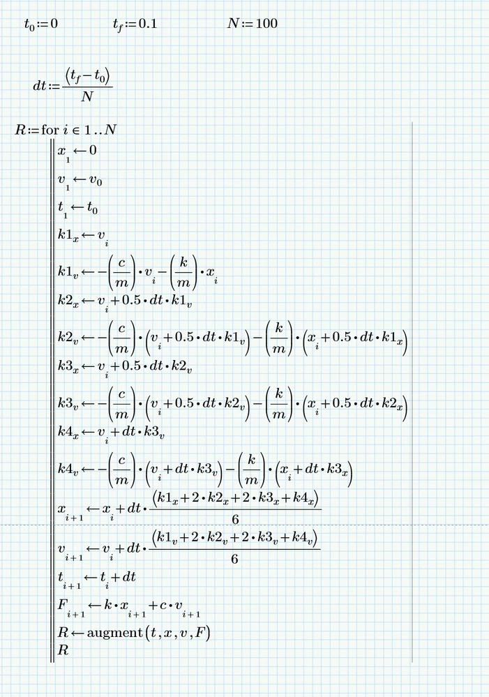
in the attached sheet there is a problem of mechanics of a damped system
Unfortunately I couldn't use odesolve, so I tried RKfixed, but again I got an error message from Mathcad. So I did a manual RK4😅
Could someone help me use the Prime RKfixed? it would be more elegant than what I did😂
and also to stop the loop when "v" (speed) becomes negative,
after that continuing the iterations no longer makes physical sense, at least when x<0. Since at that point the load has passed through the damper

also, all attempts I made with the units failed
Differential equations are not easy for me😂



