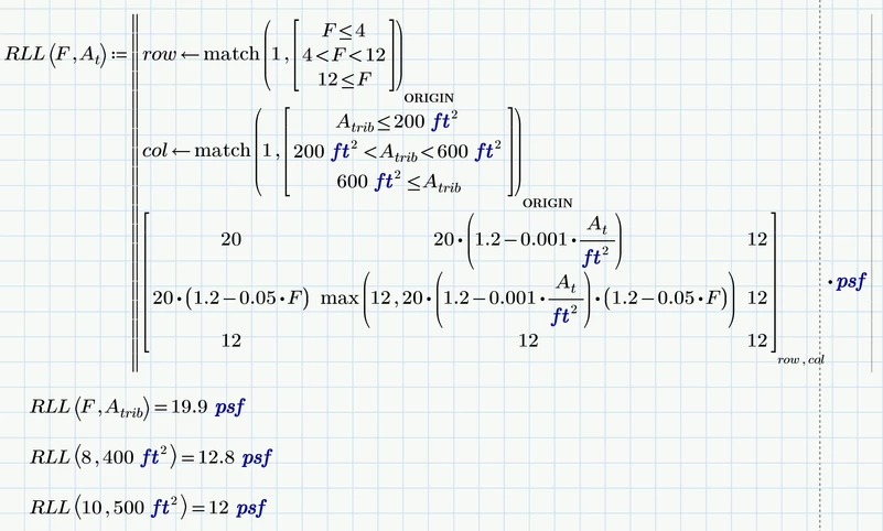
Basically you have five different cases (actually nine, but five return the same value 12).
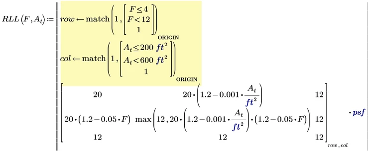
Your two programs just cover three of them.
What is the meaning of

It looks like a boolean comparison which could be true or false (in Prime that's 1 or 0), but I guess it has a different meaning.
I have no experience in your filed of work but according to the table the outcome should be a load in psf and not as you programmed it an area?
I also don't understand what you mean by "take care of column" and "do this in Comb"!?
There are many ways to skin a cat, so here is a way which could also easily deal with nine different outcomes and also with larger matrices.
I interpreted the center expression as "at least 12 or more". Not sure if this makes sense, though.


