Question
Root error interval signs
- January 7, 2019
- 2 replies
- 8544 views
Hello Friends,
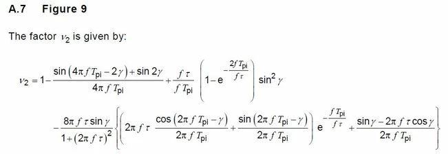
I am trying to plot something as attached below. Where v2 is a function of v1 and varies according to third variable k.
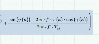
v1 is given by an equation as :
Now as for programming purpose, v1 equation is given as
But when I am trying to solve the equation using root of function k, v1 as for v2, it produce an error that end points of interval must be of opposite signs. Whereas, v2 value can not be in negative as shown in graph above. I have assigned rang from 0 to 4 as mentioned in vertical axis of graph.
Can anyone please explain or tell me why I am getting this error and how to solve this problem.
Thanks !!

