13-Aquamarine
September 18, 2024
Solved
Roots
- September 18, 2024
- 1 reply
- 1425 views
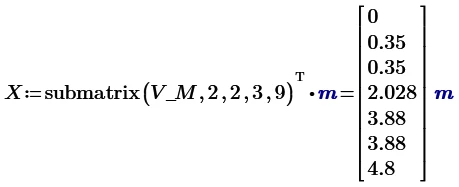
Hello dear community, I have a problem determining the roots of my function. What I want to know is the values of the Y points (black color) for each graph. Please if someone can help me with this problem. My version of Mathcad Prime V.8.0
Thank you for your attention..
Translated by the moderation using Google Translate
-----------------------------------------------------------------------------------------------
Raices
Muy buenas querida comunidad, tengo un inconveniente en determinar las raíces de mi función. Lo que quiero saber es los valores de los puntos de Y (color negro) para cada grafico. Por favor si alguien me pueda ayudar con este problema. Mi versión de Mathcad Prime V.8.0
Gracias por la atención prestada..






