Solved
SELECTING PATTERN OF NUMBERS
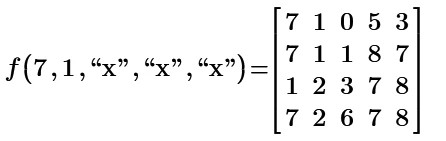
Lets say I had a column of numbers (5 digits)
71053
71187
12378
72678
My required function was
f(7,1,’x’,”x”,”x”) =710537 and 71187
f(“x”,2,”x”,”x”,”x”)=12378 and 72678
f(“x”,x,”x”,”x”,”8”)=12378 and 72678
f(“x”,x,”6”,”x”,”8”)= 72678
etc
What would be the best approach ?





