Solved
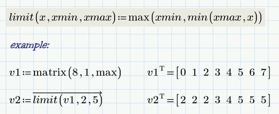
In case you need it more often to limit a value or a vector of values between two limits, you may use a small utility function.

In your case you have to use vectorization and use the limits zero and infinity.

In case you use units, don't forget to apply the appropriate units to the limits as well (even if its infinity).
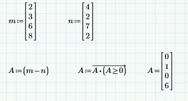
Of course you always can use programming (even thought it may be considered overkill here

And even though I don't like this kind of approach, what you can do with for loops most often also could be done using range variables:

Prime 9 sheet attached
Enter your E-mail address. We'll send you an e-mail with instructions to reset your password.


