Solved
Setting an operator as a function or variable?
- October 2, 2017
- 1 reply
- 2492 views
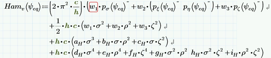
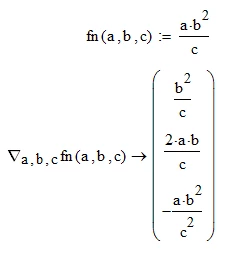
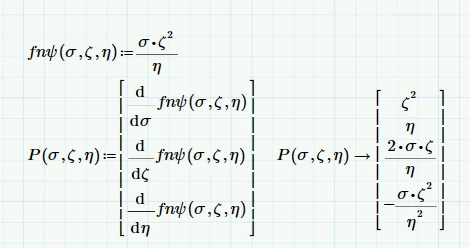
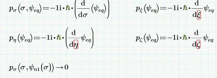
What I would ideally like is to have a variable or function set to a derivative operator, so Variable1*variable2 = derivative of variable2 with respect to some constant.
I would like this as I am dealing with equations of numerous constants and some derivatives go to 0. "Do this operator on every operand possible in this following equation" just makes it easier than figuring out which ones I need to do by hand.

