Solved
SI and cm-gm-sec - problem with units
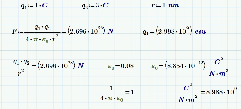
I cannot get J or erg in SI. No problem in cm-gm-sec units system. Same with Prime! Why?

I cannot get J or erg in SI. No problem in cm-gm-sec units system. Same with Prime! Why?

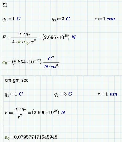
No error in Mathcad and Mathcad Prime!
CGS: coul^2/m = J. SI : coul^2/m not equal J.
The answer is here:
https://en.wikipedia.org/wiki/Statcoulomb

Enter your E-mail address. We'll send you an e-mail with instructions to reset your password.