Solved
Simplify & Polar Plot ?
- December 29, 2025
- 1 reply
- 420 views
Hello Everyone.
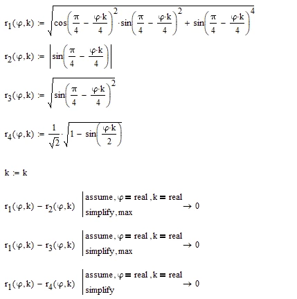
From :
To :
How to simplify ---> 0 ?
Thanks in advance.
Regards.
We already had this in another thread of yours:

So get rid of the unnecessary absolute value in r1 and tell Mathcad that k is a real, too
You now get the solution not only for k=1 but for any (real) k:

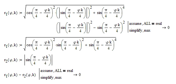
Next time you have troubles with the absolute function with real(!) arguments, you could instead use

Using this replacement (for reals only! Not for non-reals and also not for vectors!) you can even use the unnecessary absolute value in r1

Enter your E-mail address. We'll send you an e-mail with instructions to reset your password.