Its sure NOT wrong to say that sin 45° = one divided by the square root of 2 and asking why we were drilled in school that denominators must be made rational is quite legitimate.
Its kind of a math convention and there are some reasons for doing so, though.
.) On one hand its easier to quickly estimate the value of a numerical fraction if the denominator is rational, preferably a natural number.
.) Quite often an expression is pretty simplified by rationalizing the denominator (but not always 😉
.) It may be easier to compare two fractions if the denominators are rational
.) It can make subsequent calculations easier
But of course there are situations where it would not make much sense to rationalize the denominator, for example if you are asked the value of (sin 45°)^2, it would be silly to write sin 45°= sqrt 2 / 2 as the first step, then square (2/4) and at last cancel -> 1/2.
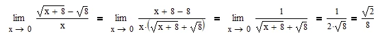
And sometimes it makes even more sense to rationalize the nominator instead of the denominator - just think of some kind of limits like

So, is it wrong not to rationalize the denominator? No, sure not! But its kind of a convention and quite often it also makes sense to do so.