Skip to main content
1-Visitor
March 16, 2021
Question

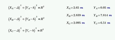
solve 3 equations with 3 unknowns

  • March 16, 2021
  • 3 replies
  • 2192 views

Hello everyone! I've already tried to solve in a block, it seems that something is missing, I'm waiting for your solutions, a lot of thanks 

  • Valentina_0-1615896199191.png

     

3 replies

19-Tanzanite
March 16, 2021

One possible and quick solution would be without units of measurement:

CornelBejan_0-1615901912760.png

 

23-Emerald I
March 16, 2021

Not sure what you did (POST YOU SHEET), but

Fred_Kohlhepp_0-1615905897653.png

 

Valentina1-VisitorAuthor
1-Visitor
March 16, 2021

Valentina_1-1615911257567.png

it worked, thanks

 

23-Emerald IV
March 16, 2021

Note that you need only three guess values, when solving for three variables. (Delta, h and R).

The values for X.A,B,C & Y.A,B and C are 'knowns', and can be placed above (outside of) the solve block.

 

Success!
Luc

23-Emerald IV
March 16, 2021

If you need to solve more problems like this, you can take the following approach:

LucMeekes_0-1615910029119.png

Success!
Luc