8-Gravel
July 11, 2023
Solved
Solve block
- July 11, 2023
- 1 reply
- 979 views
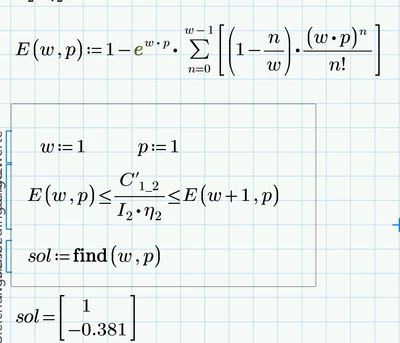
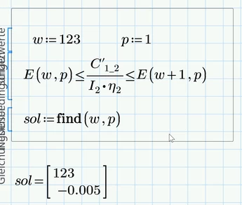
Unsure if solveblock will work Please help
You may do it that way

But whatever guess value you chose for w, it will be returned unchanged, only the (negative) value for p changes

So you could as well use the solve block to just find p dependent on w:

p as a function of w:

Enter your E-mail address. We'll send you an e-mail with instructions to reset your password.