7-Bedrock
October 1, 2023
Solved
Solve Block
- October 1, 2023
- 1 reply
- 2018 views
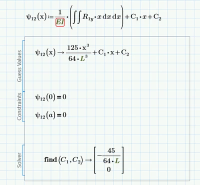
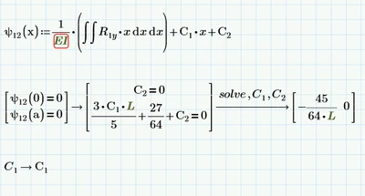
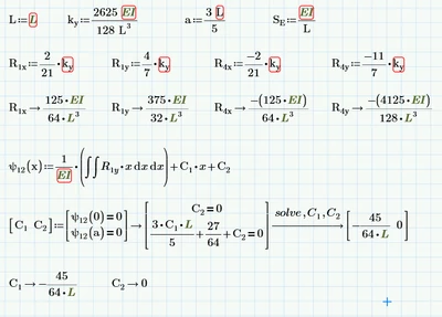
I'm currently using my school's Mathcad license of 8.0.0.0 and currently trying to symbolically solve a system of equations but it compute. Is there any work around this for the 8.0.0.0 version?



