Solve Block Issues in Mathcad 15.0
- July 9, 2018
- 4 replies
- 8054 views
Hello,
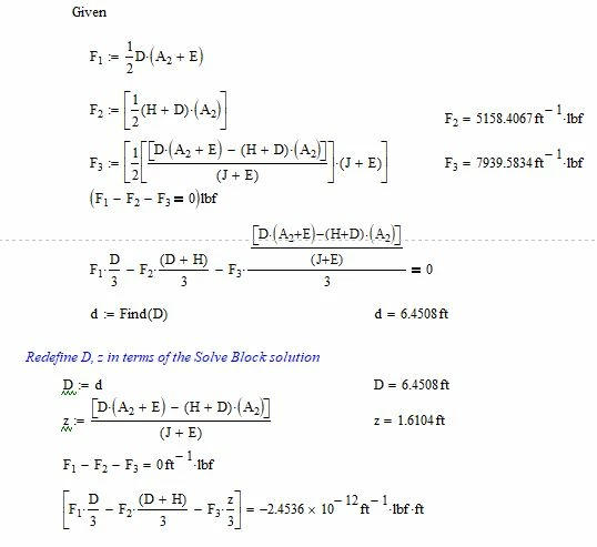
I am designing a Steel Sheet Pile wall for a project and I'm having an issue with solve blocks not actually solving the equations in the "Given" area.
For this design, I am trying to determine my embedment depth to reach Sum of Forces = 0 and Sum of Moments = 0. I have initial guess values based on conservative estimates and was intending to have Mathcad solve for an exact solution.
The issue I'm having is that Mathcad will provide a solution, and then when I try to verify the solution, Sum of Forces does = 0, however Sum of Moments does not.
The conventional method I am basing my approach on is shown in the "Conventional" attachment and the actual site characteristics are shown in the "Project Site" attachment. These are purely for reference if there happen to be any Civil Engineers looking at this post.
Do you all have any ideas why this might be the case? I appreciate any help you can provide!
Thanks
Riley

