Solved
Hi,
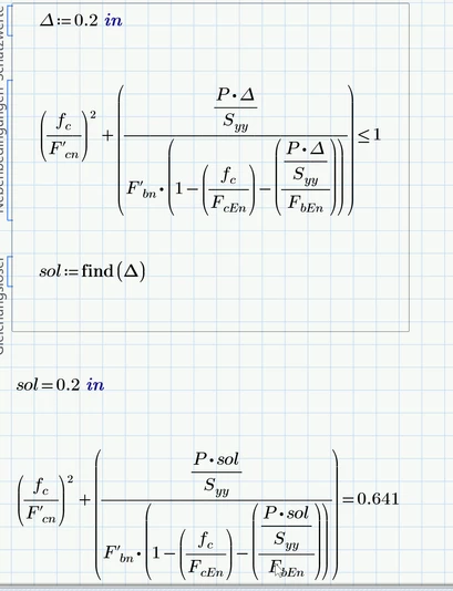
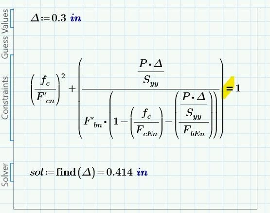
Using <= in the solve block means many solutions including your guess values,
Use an equality sign "CTRL =" so only one unique solution..
Cheers
Terry
Enter your E-mail address. We'll send you an e-mail with instructions to reset your password.

