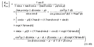
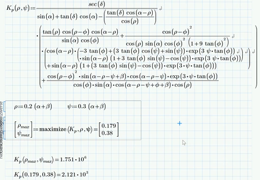
Solve Block maximum value solution with multiple dependent variables
I would like to solve a non-linear equation for the maximum value. The equation has 2 dependent variables and the solution represents the maximum value for a given number of independent variables. (see equations below).
The dependent variables are initialized at the start of the solution and the largest values of Ka and Kp are calculated for the independent variables.
I will try the solve block solution with 2 guess variables and see how the results compare to the published solutions. I would appreciate comments/suggestions if there are other methods of solving the equations.



