Solved
Solve Block Query
- April 29, 2025
- 1 reply
- 955 views
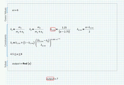
I am trying to create a solve block to calculate the value of alpha as per the below equations:

I have never used solved blocks before so hitting a bit of a stumbling point. I have found through manual iteration my required value of alpha as below:

I am trying to put this together into a solve block, but not sure where I am going wrong:

I've attached the sheet pictured above also.
Any help much appreciated, thank you. This will probably be a very simple solve and it is just my lack of understanding of the program hindering me!

