Solved
solve equations symbolically
- June 26, 2023
- 3 replies
- 2913 views
Hello,
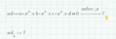
I would like to get some help from you in regards to an equation that I would like to solve it symbolically.
Please find attached the file, which is on PTC Mathcad Prime 7.
Please let me know how to improve the equations in order to be able to find a relation for x.
Thank you,


