Solve Function for value
Afternoon,
I am using the Mathcad Prime 10.
I'm fairly new to Mathcad so there may be an obvious answer to this.
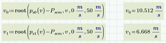
I have a few graphs like this, and am needing to determine the value of v for each curve (green/blue) that gives a Y value of the red line. Is there an easy way to do this?

Also, unrelated and mostly a formatting request, the Y-axis is Pressure, and will only display in Pa, I would prefer psi for this situation but cannot for the life on me figure out if I can change it. Any ideas?
Thanks for your help in advance.

