solve issue
Hi guys, can anyone help explain why this doesn't work?

I tried whatever I could to find out what is the problem with no success.
Thanks.
Hi guys, can anyone help explain why this doesn't work?

I tried whatever I could to find out what is the problem with no success.
Thanks.
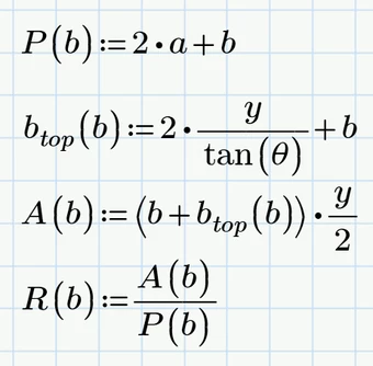
Instead of substituting and working with a huge expression I would rather prefer to turn all expressions depending on the variable b into functions of b.

You can then use the "root" function by providing a range (values to the left and to the right of the root)

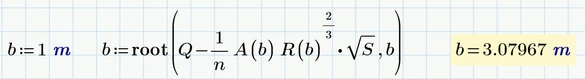
Or you can use the "root" function by providing a guess value

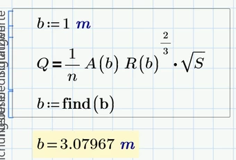
And of course you also could use a solve block with "find"

Prime 10 sheet attached
Enter your E-mail address. We'll send you an e-mail with instructions to reset your password.