7-Bedrock
February 16, 2019
Solved
Solve MathCad Prime Equation
- February 16, 2019
- 1 reply
- 4652 views
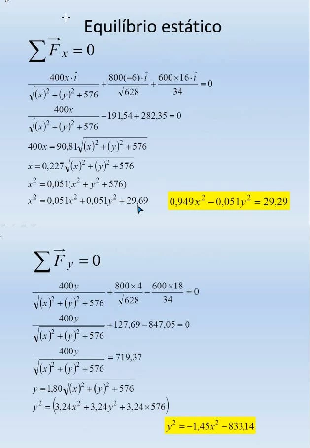
As resol for as equações para encontrar o valor de x
e eu sou novo no mathCad Eu uso o MathCad Prime 5.

Furthermore you have to consider that x^2 = 36 has two solution! Not only x=6 but also x=-6.
So you will get four solution pairs.
But as you have squared (which is no equivalence transformation) you may get "solutions" which aren't solution to the original problem and you have to filter out those wrong solutions and only the one pair which Prime came up with from the beginning should be left. As you limit your manual calculation to just three decimals I won't expect too much precision - probably no more than one decimal.
Enter your E-mail address. We'll send you an e-mail with instructions to reset your password.