Solved
Solve, N, fully ?
- October 4, 2022
- 2 replies
- 2259 views
Hi, Everyone.
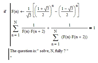
From the following:
How to solve, N, fully (the above) ?
Thanks in advance for your time and help.
Best Regards.
Loi.

I'd say: Fun(N)=1, solve, N, fully
should give: N is odd.
Success!
Luc
Enter your E-mail address. We'll send you an e-mail with instructions to reset your password.