10-Marble
October 7, 2025
Solved
Solve variable inside of trig equation?
- October 7, 2025
- 1 reply
- 301 views
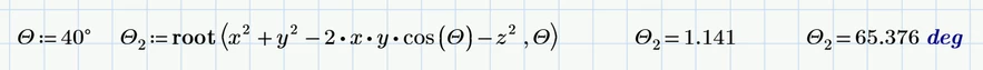
I'm using MathCAD 9.0.0.0. How can I use MathCAD to solve for theta? Below is the screen capture of what I have written so far. Attached is my MathCAD file.

Thanks,
Brent

