1-Visitor
March 15, 2026
Question
Solver Block Struggles - Prime 11
- March 15, 2026
- 2 replies
- 201 views
Hey there.
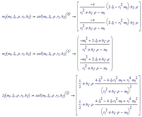
I've been trying all sorts of different ways to try and get this solver to work. Different errors depending on the way I approach it. I believe it should solve. None working. all help would be amazing.
Really the two outputs i care about are R_o and h_2.
Thanks!

