I guess you are using Prime 6
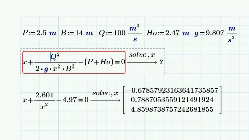
PTC introduced a new symbolic engine in this version which is a bit less capable than the old one.
In Prime 6 you still have the option to switch back to the old, legacy symbolic module (calc ribbon, calc options).
This makes your equation work, but due to round off errors the results are non-real values with very tiny imaginary parts. You may use Sol := Re(Sol) to fix this.
The symbolic does not know anything about units and treats them as unknown variables. Sometimes it helps if you add a modifier like "assume, m>0" to tell Prime that m is a positive real. It may also help to turn on variables and constants in the same menu where you can switch back to the old symbolics.
Generally its better to use numerical methods like a solve block when you are looking for numerical results. But a solve block would only yield one of the three solutions, depending in the guess value provided.

Prime 6 worksheet attached.