Solving an integral equation (with MathCAD)
Hi everyone,
I would like to know if there is a way in MathCAD to solve such an equation:

Where (unfortunately
) Sa(w,x) is known and G(w) is unknown. All other parameters can be considered known.
The equation comes from a book about Eartquake Engineeering, and gives a possible relationship between Response Spectrum and Power Spectrum, together with Fourier Spectrum (less common) they are the type of spectra commonly used in earthquake engineering.
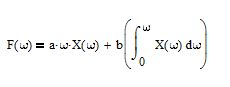
So the unknown function G (in my problem the power spectrum) would appear at the same time under integral and outside of it. Schematically it would be something like:

with F(w) known (but not a simple analytical function, it would have to be a splined interpolation, see small example on the left in the first picture above) and X(w) unknown.
If, as I believe, there is no MathCAD way, I would be grateful for some hints to known numerical methods to solve the problem... my calculus lessons are a little dated 
Thanks a lot in advance
Claudio

