Solving Blocks in MATHCAD Prime 8
- September 21, 2023
- 2 replies
- 2196 views
Previous message:
Hello, I am trying to use the "Solve Block" in MATHCAD 8 to evaluate physical constants of materials using experimental values. I have impedance measurements and phase measurements and I obtained some equations that I am trying to place in a system.
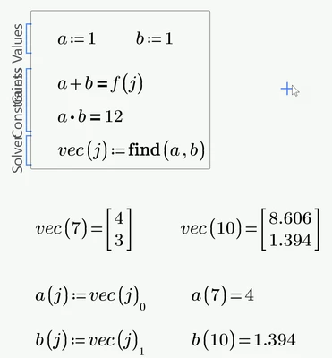
I used, I assume correctly, the Boolean "=" in the constraints field, defined some guess values and asked for the solution, like in the following text (I omit the rest because otherwise is too long). Nevertheless, there are inconsistencies probably due to the utilization of indexes (my quantities depend on the frequency, while in several examples I have seen just numbers). The red circles around variables to be calculated mean "a function or a variable name is required here".
May you help me?
New message:
Sorry, I used the PDF in my previous message for simplicity because the code is quite long, and my problem is general: how to use the "solve block" when the quantities in the constraints have an index? My equations concern variables having an index because they are components of a vector that is a function of frequency (each index "j" is one different frequency for me). So far, if I have x(j)^2 instead of x^2, which is the correct way to use the "solve block"? Have you an example where I have to solve a system of equations belonging to a loop with variables having an index?

