10-Marble
June 30, 2023
Solved
Solving Current Equations using KVL, PTC 5.0
- June 30, 2023
- 2 replies
- 5628 views
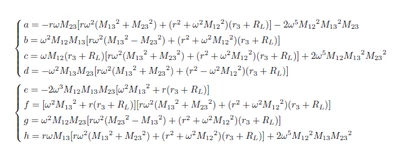
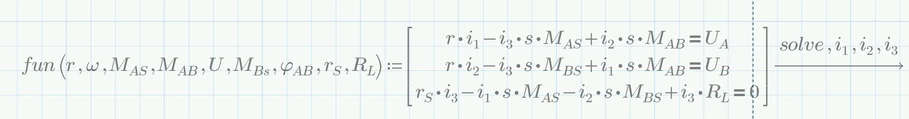
I am trying to find the efficiency of a 3 loop system. In order to find that, I need current equations of all the loops from which I can extract power of the circuit and eventually efficiency of the system. The solution I get is way too lengthy, I tried even manually to simplify them but had no luck.
Please help!

