Solved
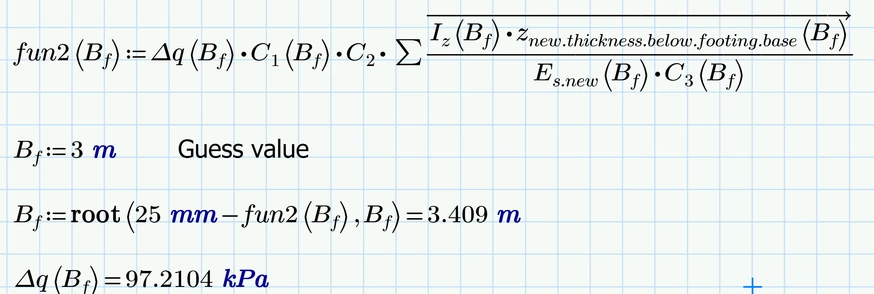
So you should solve the equation for q0 and not for B.f. You can make the solution a function of B_f as explained in my previous answer.
You may use either a solve block or the root function - its up to you.

You can speedup the calculation significantly (factor 5) by using the approach which I already showed in a previous posting


Enter your E-mail address. We'll send you an e-mail with instructions to reset your password.


