Solving equations
Hello, I'm Mathcad newbie and I can't get it to do anything useful...
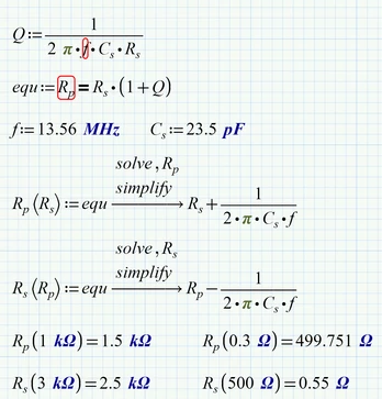
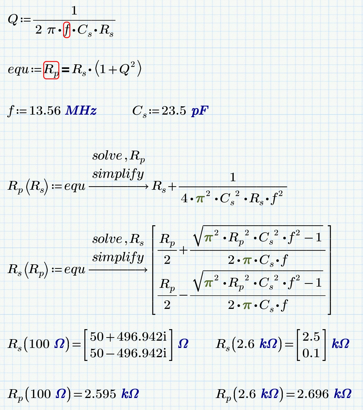
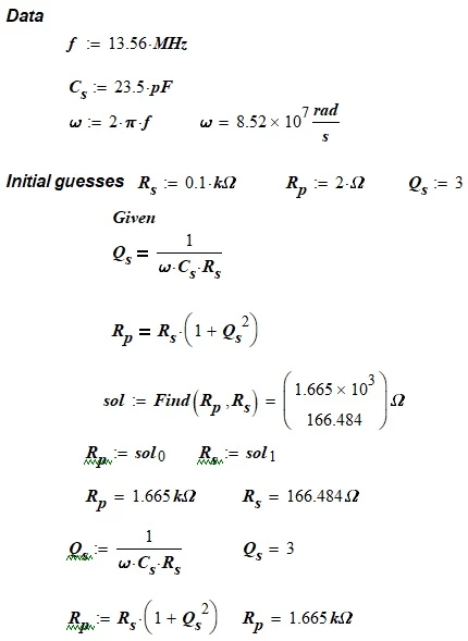
Given the following set of equations:

I provide values for f and Cs:

Now I'd like to
1/ Provide Rp value and get Rs value
OR
2/ Provide Rs value and get Rp value.
How can it be done without duplicating the equations ?

