Solving for a variable in MathCAD
Hi,
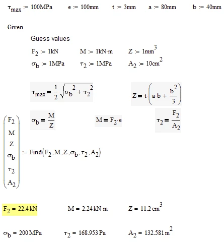
I am looking to solve for F2 in the below image, Can anyone help on how to get this working in MathCad please?

Hi,
I am looking to solve for F2 in the below image, Can anyone help on how to get this working in MathCad please?

@Deepakjohsh wrote:
Hi,
I am looking to solve for F2 in the below image, Can anyone help on how to get this working in MathCad please?
Sure! Attach your worksheet and if you are not using Mathcad but rather Prime you should also state which version you are using.
You seem to have five equations and five unknowns.
Have not checked if the equations are independent, but if they are you may either use a solve block with "find" or put the five equations in a 5x1 matrix and use the symbolic "solve" command.
EDIT: Just noticed that you have SIX unknowns but only FIVE equations! So you can expect an infinite number of possible solutions!!
Maybe you'd like to recheck!
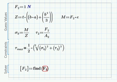
Here an approach done with Mathcad and a numeric solve block. Different guess values may yield different results, though.

Enter your E-mail address. We'll send you an e-mail with instructions to reset your password.