Solved
Solving non-linear initial value problem (ODE) with Solve Block
- February 19, 2020
- 1 reply
- 3131 views
Hi,
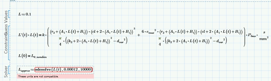
I am trying to model a moving fluid interface in an annular pipe for a varying cross-section. My model is based on a modified Poiseuille equation. If I use a constant cross-section, then MathCAD solves my linear ODE just fine and I get results as expected. If I consider a varying cross-section however, then my ODE becomes non-linear and I'm unclear on which format MathCAD requires to solve this.
All unknowns in my attached file are constants, except L(t).
I'd be very thankful for any help on how to format a non-linear ODE of this form within a solve block.
Regards,
Alex


