Skip to main content
1-Visitor
February 3, 2021
Solved

Solving nonlinear system

  • February 3, 2021
  • 1 reply
  • 2512 views

Hello, dear Mathcad community! 

 

A am working on a suspension kinematics problem and I am trying to solve the nonlinear system of 18 equations with 18 unknowns. I have tried to solve it using the solve block, but I have an error that underlines the whole Find(...) function and says: "This value must be a function".

Can you please help me to figure out the problem? I am kind of new to Mathcad and I was trying to do everything like in tutorials 😃

Best answer by Werner_E

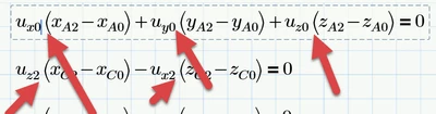
If you write f*(a+b), Prime knows that you want to multiply the variable f with (a+b).

But if you write f(a+b), then Prime interprets it as a call to a function f with a+b as its argument.

So you error was that you missed writing an explicit multiplication at the positions highlighted by the arrows (and also some others

Werner_E_0-1612376841704.png

 

1 reply

Werner_E25-Diamond IAnswer
25-Diamond I
February 3, 2021

If you write f*(a+b), Prime knows that you want to multiply the variable f with (a+b).

But if you write f(a+b), then Prime interprets it as a call to a function f with a+b as its argument.

So you error was that you missed writing an explicit multiplication at the positions highlighted by the arrows (and also some others

Werner_E_0-1612376841704.png

 

25-Diamond I
February 3, 2021

Furthermore I would suggest that you assign the result to a variable or to a vector of variables instead of the immediate  numeric evaluation.

Werner_E_0-1612377289124.png

P6 sheet attached

1-Visitor
February 3, 2021

Thank you very much!

 

I was just thinking about the same thing 😃