1-Visitor
June 5, 2018
Question
Solving / Rearranging equations
- June 5, 2018
- 3 replies
- 8392 views
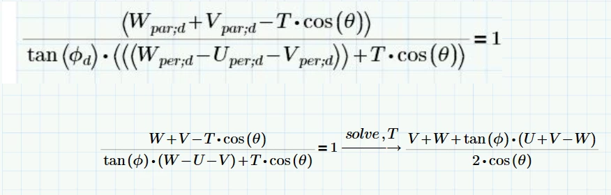
I'm trying to solve the attached equation for T.
W, U, V, Theta and Phi are all defined values.
I can't seem to get solve,T to work. It just says undefined.
I can partially do it by breaking it down but I get to the final step and cant seem to get Mathcad to rearrange in terms of T.
Anyone got any advice?

