solving system of non linear equations
- December 2, 2025
- 2 replies
- 725 views
Dear PTC Community,
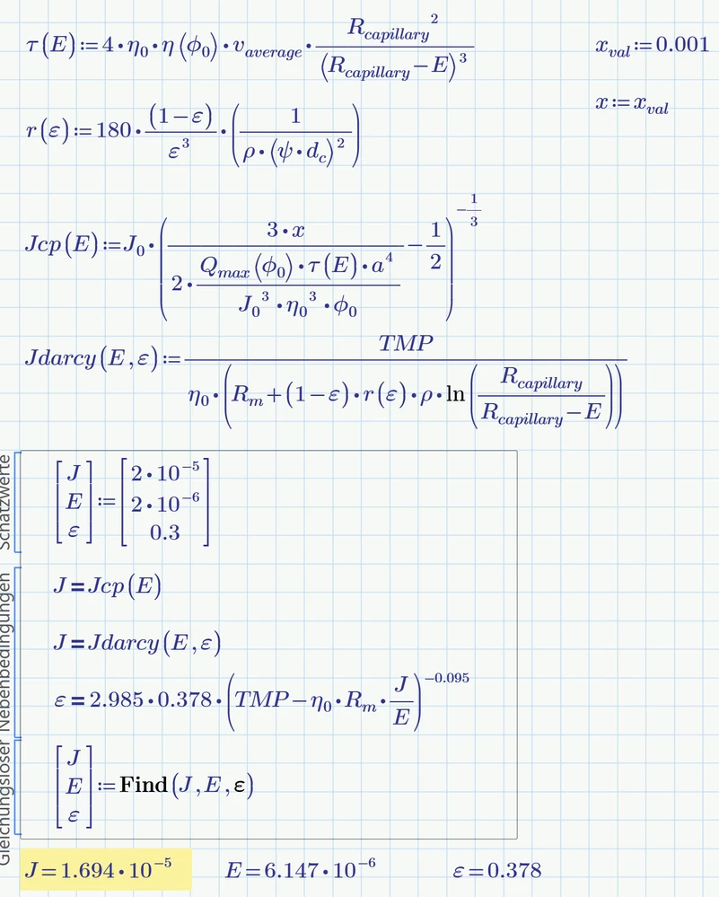
I am working on a system of coupled nonlinear equations and attempting to solve it using a Mathcad Prime 7.0.0.0 Solve Block. The solve block runs without errors and returns numerical values for my unknowns. However, when I validate the solution outside the solve block, I find that one of the variables ( J), which appears in two different model equations, gives two different values when recalculated. I expected these equations to converge to a consistent solution for J, but they do not.
In other words, even though the solve block returns values for three different variables (J, E, ε), the two J expressions do not evaluate to the same value of J when I recompute them using the solved ( E and ε).
I have attached my Mathcad file.
Could someone please review it and help me understand why the solve block returns a result but the two governing equations do not match when checked afterwards?
I would be very grateful for your insight.
Kind regards,
Tadele

