Solved
Square root units question
- December 26, 2022
- 2 replies
- 2239 views
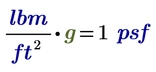
I have to identical equations using a square root (flow calculation). If I use the "psf" units for lbm/ft^2, the radical doesn't evaluate the squared units correctly. But if I force the units to be lbm/ft^2 under the radical, then the expression evaluates correctly to lb/s; mass flow.
I don't understand why this doesn't evaluate correctly. Is there a way to make this more robust?
See attached.



