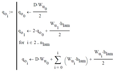
Step Function Issues with MathCAD Prime 8
I am using a step function to define the first two values which are slightly different than the subsequent values and was able to do this in MathCAD v15, but I have just moved to Prime 8 and the function no longer works. The except from MathCAD v15 is shown below. How do I do the same sort of iterative function in Prime 8?



